cc518学习网

高考数学一轮复习

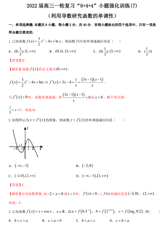
0